凱夫拉是什么?
1. 凱夫拉的分子結構
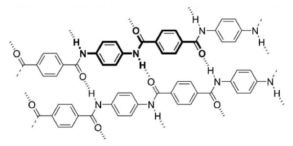
凱夫拉最早是由美國杜邦(DuPont)公司研制的一種芳綸纖維材料,其化學名為聚對苯二甲酰對苯二胺,是由對苯二胺和對苯二甲酰氯聚合而成的高分子聚合物。分子式為(C14H10O2N2)n,也就是說它是由重復單位彼此連接形成鏈狀結構,這些鏈狀結構之間又通過氫鍵相連形成網。
凱夫拉分子結構
凱夫拉的分子結構決定了其具有很強的耐熱性和阻燃性,熔點高達371度,此外其分子重量很輕,并且氫鍵、酰胺鍵以及亞胺鍵的緊密結合,使其具有很好的抗張性。
通常凱夫拉纖維的制造過程分為兩個階段:
1) 對二苯胺與對苯二甲酰氯縮聚成對苯二甲酰對苯二胺(PPTA)。
2) 將聚合體溶解在溶劑中再進行紡絲,最終形成所需要的網狀纖維材料。
1. 凱夫拉的防彈機理
正如前面所述,和陶瓷、金屬等硬質防彈材料不同,凱夫拉由于分子中化學鍵的緊密結合使其具有超高的強度、良好的韌性和抗張性,因此在受到子彈沖擊時,凱夫拉纖維會因為彈丸的拉伸和剪切而產生彈性形變,在此過程中子彈的能量被迫向沖擊點以外的區域擴散,動能的損耗導致子彈的速度大大降低,最終被纖維網所攔截。凱夫拉在防彈領域的應用極大的提高了各種防彈產品的防護性能,同時很大程度上降低了防彈裝備的重量,是防彈領域上的一大進步。
2. 凱夫拉的應用
憑借著良好的耐熱性、抗張性以及高強度等優點,凱夫拉已經廣泛的應用于各種日常生活產品以及防彈裝備的制造上。比如我們生活方面經常用到的飲料吸管,安全手套;航空航天的降落傘繩、船艦用的纜繩;賽車服、消防員的隔熱防護服;軍事方面的防彈衣、防彈插板、防彈頭盔等等。凱夫拉的應用極大的方便了我們的生活,推動了生產制造行業的進步。
但是芳綸也有兩大致命的缺點:
1) 遇到紫外線會發生降解;
2) 易水解,即使是儲存在干燥的環境中也會吸收空氣中的水分逐漸發生水解。
因此一些芳綸產品不適宜長期在紫外線較強以及潮濕的環境中使用,這樣會大大的降低其使用壽命。





